1. Delimitación de Cuencas Hidrográficas

Antes de poder realizar una delimitación de Cuencas Hidrográficas en Arc Gis, debemos tener claro unos cuántos conceptos básicos que nos ayuden a entender todas las partes que conforman una cuenca y a su vez qué parámetros podemos calcular con datos simples como el área y/o perímetro de la cuenca. 


A continuación, te presentamos una breve descripción de una cuenca hidrográfica (cuenca hidrológica, cuenca de drenaje, hoya hidrográfica), así como un video interactivo para una mejor comprensión:


Generalidades

Para definir a la cuenca hidrológica es necesario tener en cuenta que a lo largo del tiempo ésta ha recibido varias denominaciones y entre ellas podemos citar a la “Cuenca Hidrográfica”, “Hoya Hidrográfica”, y “Cuenca de Drenaje”; precisando que todas estas denominaciones hacen alusión a un mismo concepto. 
En síntesis, podemos decir que la cuenca hidrológica es aquella área que contribuye a la escorrentía y que proporciona todo o parte del flujo hacia el cauce principal y sus tributarios, cuyo trayecto concurre a un punto de salida; es decir, las aguas que precipitan en dicha área se juntan mediante su sistema de drenaje (tributarios) para formar un solo curso de agua (cauce principal) la cual desemboca en un punto de salida.
Es importante resaltar que cada curso de agua tiene una cuenca bien definida, cuyo flujo puede ser descargado a otras cuencas aledañas, o directamente al mar. 
Asimismo, con relación al punto de salida, existen dos tipos de cuencas: las endorreicas (cerradas) y las exorreicas (abiertas). En las cuencas endorreicas, el punto de salida generalmente es un lago, es decir, no tiene una salida hacia el océano; mientras que, en las cuencas exorreicas, el punto de salida se localiza en los límites de la cuenca y a su vez la descarga se vierte en una corriente o en el océano. De manera complementaria es importante mencionar a la cuenca arreica, cuyas aguas no desembocan ni en mares, ni lagos, debido a que se evaporan o terminan infiltrándose en el suelo hasta desaparecer.
También debemos tener claro que el límite de cuenca hidrológica no tiene por qué coincidir con una unidad hidrológica subterránea.
Por otro lado, en algunos textos se menciona que una cuenca hidrológica drena toda el agua que recibe a un mismo punto de salida, lo cual es cierto en la medida que se asuma previamente que esta superficie de cuenca es “impermeable”; esto se precisa para no generar confusión con las distintas definiciones que existen sobre la cuenca, ya que en la realidad parte de este flujo de agua se infiltra, otra se evapora, etc.
Finalmente, hay que precisar que una cuenca hidrológica y una cuenca subterránea (acuífero), conforman las unidades fundamentales de la hidrología y que dichas unidades tienen una forma semejante vista en planta.
*Citas Textuales referidos a la definición de Cuencas Hidrológicas*

1. Libro: Mejía Marcacuzco J. A. (2006), «Hidrología Aplicada», pág. 45.
 
«Según Viessman, Harbaugh, Knapp (1977), la cuenca hidrográfica es toda el área drenada por un curso de agua  o por un sistema de cursos de agua, cuyas aguas concurren a un punto de salida; en otras palabras, se puede decir que cuenca de drenaje, es el área que contribuye a la escorrentía y que proporciona todo o parte del flujo del cauce principal y sus tributarios.»

2. Libro: Breña Puyol, A. F. – Jacobo Villa, M. A. (2006), «Principios y Fundamentos de la Hidrología Superficial», pág. 23.

«La cuenca es aquella superficie en la cual el agua precipitada se transfiere a las partes topográficas bajas por medio del sistema de drenaje, concentrándose generalmente en un colector que descarga a otras cuencas aledañas, o finalmente al océano. La cuenca hidrológica, junto con los acuíferos, son las unidades fundamentales de la hidrología.«

3. Libro: Aparicio Mijares, F. J. (1992), «Fundamentos de Hidrología de Superficie», pág. 19.

«Una cuenca es una zona de la superficie terrestre en donde (si fuera impermeable) las gotas de lluvia que caen sobre ella tienden a ser drenadas por el sistema de corrientes hacia un mismo punto de salida. La definición anterior se refiere a una cuenca superficial; asociada a cada una de éstas existe también una cuenca subterránea, cuya forma en planta es semejante a la superficial. De ahí la aclaración de que la definición es válida si la superficie fuera impermeable.»

Importancia de conocer las características Físicas y Funcionales de una Cuenca Hidrográfica
  • Son un conjunto de factores que determinan la naturaleza de la descarga de un curso de agua.
  • Establece comparaciones entre cuencas hidrográficas.
  • Interpreta de forma clara fenómenos pasados.
  • Nos permite efectuar previsiones de descarga de un río.

Ahora veamos las Características Físicas de la Cuenca Hidrográfica:


También denominada características fisiográficas, morfológicas, entre otras. Pues nos definen aquellos factores que permiten determinar la naturaleza de la descarga de un curso de agua; conocer éstas características es de suma importancia ya que nos permitirá comparar cuencas hidrográficas, nos dará la facultad de poder interpretar fenómenos que sucedieron en el pasado, etcétera. 

Límite de la cuenca: Está delimitada por una línea imaginaria conformada por los puntos de mayor nivel topográfico (cotas), conocido como divisoria, cuya función es la de dividir la precipitación que cae en cuencas aledañas, la cual al convertirse en escorrentía superficial son encaminadas gracias a su respectivo sistema fluvial (o de drenaje) hacia el cauce principal.
También es importante mencionar que el límite de la cuenca solo corta el curso de agua en el punto de salida y que en el interior de la cuenca pueden existir puntos aislados con cotas superiores a los que conforman el límite de la cuenca.
Por otro lado, la cuenca está delimitada por dos tipos de divisorias de agua: un divisor topográfico (superficial) y un divisor freático (subterráneo). El divisor topográfico es lo que conocemos como el límite de la cuenca, mientras que el divisor freático, establece los límites de los depósitos de aguas subterráneas (acuíferos); además hay que tener presente que estos depósitos de agua subterránea forman parte del flujo base de la cuenca y el divisor topográfico y el freático no coinciden necesariamente, es así que debido a la complejidad que conlleva determinar cuál es la divisoria freática, ya que al no ser fijo, es decir, debido a las fluctuaciones del nivel freático con relación al tiempo, se considera que el área de la cuenca hidrográfica es aquella área delimitada por el divisor topográfico.
En resumidas cuentas, cuando nosotros calculemos el área de una cuenca estaremos hallando el área que forma la divisoria topográfica más no la freática.

Además, si tenemos en cuenta que parte del agua de precipitación que cae sobre una cuenca de drenaje se infiltra y ésta escurre a nivel subterráneo, puede llegar a atravesar el divisor topográfico de la cuenca (recordemos que a nivel subterráneo se dan flucutaciones), y a este fenómeno se le considera como una fuga de agua de la cuenca donde ocurrió la precipitación y para la cuenca vecina pues representaría como un aporte de aguas de cuenca colindante.

  1. Perímetro de la Cuenca: Viene a ser la longitud total de la divisoria de aguas (es decir considera a la divisoria topográfica), y esta se mide en Km u otra unidad de longitud.
  2. Área de la Cuenca: Conocida también como área de drenaje, es aquella proyección horizontal denominada comúnmente como área plana, la cual está dentro del límite de la cuenca o divisor topográfico.
    El poder determinar este parámetro básico es de suma importancia ya que ayudará a calcular otras características físicas, y comúnmente se suele representar en km2 o hectáreas.
    Finalmente hay que tener claro que pueden existir cuencas hidrográficas de igual área, pero sus comportamientos hidrológicos serán diferentes, debido a que sus otros factores que determinan su comportamiento suelen variar.
  3. Forma de la Cuenca: Conocer la forma de la cuenca es muy importante ya que está ligada a las características de los hidrogramas de descarga de un río, particularmente en eventos de máximas avenidas; así como también, desempeña un rol importante en el tiempo de concentración de la cuenca, la cual analizaremos más adelante. Por lo pronto, hay que tener presente que, en cuencas de igual área, pero de diferente forma, éstas presentarán hidrogramas distintos, y que en cuencas de grandes ríos su forma será similar a la de una pera, mientras que en cuencas pequeñas su forma varía mucho debido a ciertas características como su estructura geológica, por ejemplo.
    Ahora te preguntarás, ¿Cómo puedo determinar la forma de una cuenca?, pues te comento que existen unos índices para poder determinar su forma; éstas buscan asemejarlas con formas geométricas conocidas; así, por ejemplo, tenemos al coeficiente de compacidad que relaciona la forma de la cuenca con un círculo, mientras que, el factor de forma relaciona a la cuenca con un rectángulo.

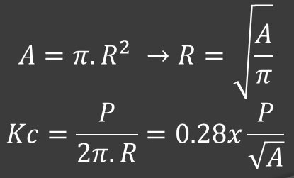
  • Coeficiente de Compacidad (Kc): Índice de Gravelius es la relación entre el perímetro de la cuenca (P en km) y el perímetro de un círculo de área igual a la de la cuenca. (área cuenca = A Km^2).

Nota: Mientras más irregular sea la forma de la cuenca mayor será su coeficiente de compacidad. Una cuenca de forma circular posee un coeficiente mínimo igual a 1. Asimismo, hay una mayor tendencia a las crecientes (es decir, a producirse mayores caudales) en una cuenca cuando el valor del índice se aproxima a la unidad.

En resumidas cuentas, si tu índice de compacidad se acerca a 1, su forma será semejante a una circunferencia y ésta tendrá tendencia a generar caudales mayores en comparación con otra cuenca cuyo índice de compacidad se aleje de la unidad y cuya forma será más irregular tal como vemos en pantalla, donde para un valor de Kc igual a 1.1 su forma tiende a una circunferencia y para valores más alejados su forma tiende a ser más irregular.
  • Factor de Forma: (Kf): Es la relación entre el ancho medio y la longitud axial de la cuenca. Donde la longitud axial de la cuenca se mide cuando se sigue el curso de agua más largo desde la desembocadura hasta la cabecera más distante de la cuenca (en pocas palabra se refiere al río principal de la cuenca).El ancho medio se obtiene cuando se divide el área por la longitud axial de la cuenca. Si consideramos a B como ancho medio en Km, y a L como la longitud axial de la cuenca en Km y a A como el área de la cuenca en Km2 tendremos que:

Nota: En una cuenca con factor de forma bajo estará menos ligada a crecientes (es decir a producirse mayores caudales) que otra cuenca del mismo tamaño, pero con mayor factor de forma.


Si no lograste captar la idea, no te preocupes, pues existe un cuadro de valores interpretativos del factor de forma:

Donde para valores aproximados de Kf menores a 0.22 su forma es muy alargada y además su tendencia a sufrir inundaciones (o lo que mencioné hace un momento, su tendencia a crecientes o a producirse mayores caudales) será muy bajo. caso contrario mientras más alto sea el factor de forma, su tendencia a producirse inundaciones será cada vez mayor.

4. Sistema de Drenaje: Está constituido por el cauce principal y sus tributarios.

  • Tipos de Corrientes
Perennes: Que contienen agua durante todo el tiempo, la napa freática mantiene una alimentación continua y no desciende nunca por debajo del nivel de agua en el cauce, aún en épocas de sequía muy severas. 

Intermitentes: Escurren durante las estaciones lluviosas y se secan durante el periodo de estiaje.
Efímeros: Existen apenas durante o inmediatamente después de los periodos de precipitación y solo transportan escorrentía superficial. No existe flujo subterráneo hacia el cauce.
  • Orden de Corrientes: Clasificación que refleja el grado de ramificación o bifurcación dentro de una cuenca.

La unión de dos ramas con el mismo orden generan uno de nivel superior. Es decir, dos ramas de orden 1 generan una rama de orden 2, y así sucesivamente.

  • Densidad de Drenaje: (Dd) Este índice está expresado por la relación entre la longitud total (L) de los cursos de agua de una cuenca y el área total (A).
    Este índice varía de 0.5 km/km^2 para cuencas con drenaje pobre y de 3.5 a más, para cuencas bien drenadas.

Ahora veamos las Características de Relieve:

  • Estas tienen gran influencia sobre factores meteorológicos e hidrológicos, pues la velocidad de la escorrentía superficial está determinada por la pendiente de la cuenca, mientras que los demás parámetros (temperatura, precipitación, etc.) están en función de la altitud de la cuenca.
  • Determinar las curvas características del relieve de la cuenca es muy importante.

a) Pendiente de la Cuenca: Controla en buena parte la velocidad con que se da la escorrentía superficial. Hay varios métodos para determinar valores representativos de la pendiente, entre ellas tenemos el método de las cuadrículas asociadas a un vector, que consiste en determinar la distribución porcentual de las pendientes de las cuadrículas por medio de un muestreo estadístico de las pendientes normales a las curvas de nivel en un gran número de puntos de la cuenca.

Ejemplo de como trabajar una tabla de pendientes. En ArcGis obtendremos los datos necesarios para realizar esta tabla.
Con la tabla correctamente elaborada, podremos obtener este gráfico.
b) Elevación Media de la Cuenca: Es importante por la influencia que ejercen sobre la precipitación, sobre las pérdidas de agua por evaporación y transpiración, y consecuentemente sobre el caudal medio.

A grandes variaciones de altitud conlleva a diferencias significativas en la precipitación y temperatura media, la cual genera variaciones en la evapotranspiración.
La elevación media está determinada por la siguiente ecuación:
Donde:
E: Elevación media.
e: Elevación media entre dos curvas de nivel consecutivas.
a: Es el área entre las curvas de nivel.
A: Es el área total de la cuenca.
c) Curva Hipsométrica: Es la representación gráfica del relieve medio de una cuenca, con referencia al nivel medio del mar.
Tipos de curvas hipsométricas. También lo realizaremos en ArcGis.
Manera de trabajar una tabla de cotas para elaborar la curva hipsométrica.
Está gráfica también lo realizaremos con ayuda de ArcGis.
d) Pendiente del Cauce Principal: Esta pendiente influye en los valores de descarga de un río de forma significativa, ya que la velocidad con la que alcanza a la salida depende de la pendiente, es decir cuanto mayor sea la pendiente, mayor será la velocidad de flujo y más pronunciados y estrechos los hidrogramas de avenidas.
  1. La pendiente media es la pendiente entre la desembocadura y la naciente del río.
  2. La pendiente Media Ponderada es la línea que se traza de tal modo que el área entre la línea y el perfil del curso de agua por debajo y encima sean iguales.
Estas pendientes también lo elaboraremos en Arc Gis
Hasta aquí concluimos con la parte teórica. En la siguiente publicación comenzaremos desde cero a crear nuestro proyecto en ArcGis. Delimitaremos la cuenca y luego hallaremos todos los parámetros que hemos mencionado en la teoría.
    Compartir en:

    Publicaciones Recientes